種子螺旋分離機實驗辦法
作者:中創儀器
發布時間:2015-12-01 14:12
瀏覽量:
一、主題內容與適用范圍
本規范規則了種子分離機的功能實驗和出產實驗辦法。本規范適用于豆科牧草種子中圓粒或橢圓種子的實驗,也適用于糧食、蔬菜、花卉、林木等種子,中圓粒或橢圓粒種子的實驗。
二、引證規范
1) GB 2930 牧草種子檢驗規程
2) GB 3543 農作物種子檢驗規程
3) GB 4404 糧食種子
4) GB 5667 農業機械出產實驗辦法
5) GB 5748 工作場所空氣中粉塵測定辦法
6) GB 6141 豆科主要培養牧草種子質量分級
7) GB 8079 蔬菜種子
三、實驗條件
● 實驗場所
實驗場所應挑選在地上平坦鞏固的室內。機器應裝置在空間高度不低于4m,面積不小于10m2 的地上上。
● 實驗樣機
實驗前,機器應按運用說明書要求進行裝置、調試,使其到達正常工作狀況。測定樣機的主要技能參數,其成果記入表1;將樣機各有關部位調整成果記入表2;對需查核的零件進行初測,成果記入表3。
● 實驗物料
供實驗用的物料,應選用適用于螺旋分離機分選的種子。糧食種子、蔬菜種子和牧草種子的初始凈度應別離到達GB 4404、GB 8079 和GB 6141 規則的三級以上。
供實驗用種子的含水率,糧食種子應符合GB 4404 的規則,蔬菜種子應符合GB 8079 的規則,牧草種子應符合GB 2930 的規則。
實驗前,應對實驗用種子的初始凈度、千粒重進行初測。扦樣辦法和測定辦法按GB 3543、GB 2930和GB 8079 中所規則的辦法進行,其成果記入表4。
● 實驗用儀器、設備及東西
實驗用儀器、設備及東西詳見附錄A(參閱件)。所用儀器、設備必須在檢定周期內。
四、功能實驗
★ 實驗目的
經過實驗查核機器的功能目標和技能經濟目標。
★ 實驗要求
功能實驗過程中,不得改動機器的工作狀況,各項目標的測定應一起進行。功能測定接連時刻不得少于30min,取樣數量為100~2000g(視作物種類而定),重復次數不得少于3 次,求其平均值。
★ 實驗內容與辦法
功能實驗成果記入表5。
★ 出產率
機器正常接連工作中,稱量在測定時刻內從螺旋分離機各出口所排出物料分量之和,按下式核算:

★ 凈度
在測定生產率的樣品中,取樣作凈度查驗,取樣和測定辦法按GB 3543 中4.2 條和GB 2930 中第4 章的規則進行。
★ 千粒重的測定辦法與本規范 3.3 條一樣。
凈度、千粒重測定成果記入表5。
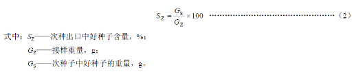
★ 次種出口中好種子含量
在測定時間內,測定從次種出口排出的好種子的分量占接樣分量的百分比